安泰電子科普:什么是壓電陶瓷的諧振頻率?
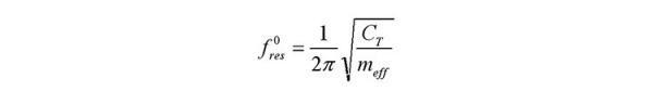
壓電陶瓷是振蕩的機械系統,特征可由諧振頻率fres來表述。諧振頻率是由陶瓷的剛度和質量分布(有效的運動質量)決定的。壓電陶瓷(非單層)的諧振頻率最高可達100kHz。壓電陶瓷的諧振頻率反映的是壓電陶瓷的使用頻率。諧振頻率通常是在兩端不固定且在很小的電壓驅動信號下測得的,諧振頻率可以通過下面公式計算得出:

meff:壓電陶瓷的有效質量
CT:壓電陶瓷的剛度
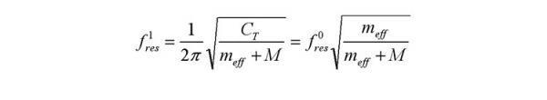
加載一個質量為M負載到陶瓷,此系統的諧振頻率可以用下式表示:

這就是為什么加載之后的諧振頻率與陶瓷本身的諧振頻率有很大的偏差,這個是一個很重要的因素。如果陶瓷在諧振頻率點工作,那么振幅會比非諧振點高很多。當接近諧振點工作的時候,即使給陶瓷非常低的電壓也能達到非諧振情況下,超過最大電壓下的位移。
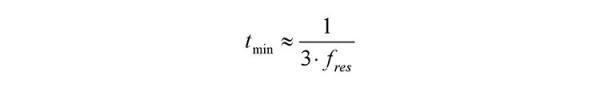
但是我們建議陶瓷的使用頻率要小于諧振頻率的三分之一,同時還需要考慮動態過程中陶瓷的發熱情況,從而減小陶瓷損壞、延長使用壽命。

安泰功率放大器
本文有關壓電陶瓷知識科普由西安安泰電子發布,Aigtek是國內專業從事測量儀器研發、生產和銷售的高科技企業,一直專注于功率放大器、高壓放大器、功率放大模塊、功率信號源、計量校準源等測試儀器產品的研發與制造。功率放大器被廣泛的應用于壓電陶瓷驅動。通過以上的介紹,相信您對超聲探傷有了清晰的了解,如想了解更多有關相關科普,請持續關注安泰電子官網www.wj539.com或撥打029-88865020。
原文鏈接:http://www.wj539.com/news/772.html下一篇:
Aigtek超聲探傷知識科普


























