Aigtek科普:什么是壓電陶瓷的階躍時間及動態力?
1.階躍時間
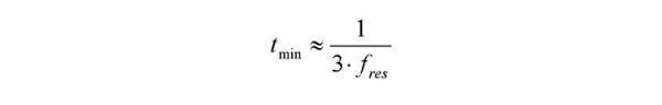
由于壓電陶瓷的諧振頻率很高,壓電陶瓷可以隨著驅動電壓的變化而快速的伸縮。目前已經廣泛的應用到閥門和快門技術中。壓電陶瓷的最快響應時間即壓電陶瓷的伸長時間取決于壓電陶瓷的諧振頻率,一般為壓電陶瓷諧振時間的1/3。

當給陶瓷施加一個短的電脈沖,陶瓷在其階躍時間tmin內伸長。同時共振頻率將被激發,陶瓷在其伸長位置的附近做阻尼振蕩。更短的電脈沖只能使振幅更高,但不能縮短階躍時間。下圖顯示了一個壓電陶瓷在短脈沖電信號激勵下,陶瓷的上升時間為600us,諧振頻率為560Hz。
2.動態力
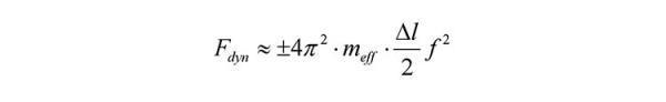
在動態應用中,壓電陶瓷的推力和拉力是同時存在的,推力遠遠大于拉力,也就是說壓電陶瓷的抗壓強度是非常高的,而拉力則對其影響很大。當壓電陶瓷在動態應用時,兩種力交替出現。即使沒有外部負載,依然要考慮動態力。因此在動態應用中需要選擇有預載力的陶瓷。

壓電陶瓷正弦信號使用時,動態力估算公式為:

Fdyn:動態出力
f:使用頻率
▲l/2:振蕩的幅度(▲l -陶瓷滿行程)
Meff::有效質量
有效質量meff等于陶瓷本身質量的1/3加上負載的質量。

本文有關知識科普由西安安泰電子發布,Aigtek是國內專業從事測量儀器研發、生產和銷售的高科技企業,一直專注于功率放大器、高壓放大器、功率信號源、功率放大模塊、計量校準源等測試儀器產品的研發與制造。通過以上的介紹,相信您對超聲探傷有了清晰的了解,如想了解更多有關相關科普,請持續關注安泰電子官網www.wj539.com或撥打029-88865020。
原文鏈接:http://www.wj539.com/news/384.html上一篇:
安泰科普:傳感器的分類及介紹
下一篇:
安泰電子科普:什么是壓電陶瓷的諧振頻率?


























