高壓放大器在壓電智能傳感技術的鋼結構監測研究中的應用
實驗名稱:基于壓電智能傳感技術的鋼結構節點連接健康監測研究
研究方向:無損檢測
測試目的:
鋼結構在安裝和使用過程中,節點連接區較常見的兩類損傷:螺栓松動和裂紋擴展進行研究,提出了基于壓電智能傳感技術的鋼結構節點連接健康監測方法,以期為鋼結構的安全運營提供一定保障。具體研究內容包括:基于時間反演技術的鋼塔筒法蘭節點螺栓松動監測研究;基于壓電阻抗和BP神經網絡的鋼網架節點連接區裂紋擴展監測研究。
測試設備:ATA-2022B高壓放大器、通道數獨立式數據采集卡、力矩扳手、壓電陶瓷片、筆記本電腦。

圖:基于時間反演技術的鋼塔筒法蘭節點螺栓松動監測流程圖
實驗過程:

圖:基于時間反演技術的鋼塔筒法蘭節點螺栓松動監測的試驗裝置圖
基于時間反演技術的鋼塔筒法蘭節點螺栓松動監測的試驗裝置,如上圖所示。以1號螺栓為例,具體試驗過程如下:
1)設備連通與信號發射。根據上圖所示的試驗裝置,完成設備的連接,開啟電源進行儀器預熱并設置好相關參數,等待指示燈顯示各設備連接正常后,進行信號發射。
2)信號采集。對法蘭節點處的螺栓施加工況一即初擰,由電腦Labview程序控制數據采集卡發射高斯脈沖信號,信號通過連線到達功率放大器被放大50倍;放大后的信號通過連線到達螺栓帽上的PZT1,并產生一個應力波,該應力波穿過螺栓和法蘭盤連接表面,之后被PZT2接收;Labview程序利用時間反演技術將信號進行反轉并發射;最終,應力波信號在PZT1處形成信號的聚焦,PZT1通過逆壓電效應將信號轉化為電信號,通過連線傳遞到信號采集卡中,信號采集卡將電信號轉化成數字信號,保存至電腦端。以同樣的方式,完成1號螺栓不同工況下的信號的采集。
本試驗選用PZT在100kHz附近的一個頻率峰值,即中心頻率設為100kHz,試驗中采樣頻率為1MHz,采樣時長為1s。具體參數如表3.3所示。根據脈沖信號的相關參數,利用高斯型調制正弦模式生成的脈沖信號,如下圖所示。

圖:高斯脈沖信號圖
實驗結果:
鋼塔筒法蘭節點損傷機理:法蘭節點上的PZT片被高斯信號激勵后,產生應力波并沿著法蘭節點進行傳遞,當法蘭節點處的連接發生松動時,法蘭節點之間的接觸面積相對減少,引起應力波能量在傳感器之間的傳播和衰減,能量變化會引起聚焦峰值的不同,通過聚焦信號峰值的變化就可以判斷法蘭節點的松緊狀態。
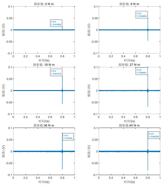
鋼塔筒法蘭節點損傷識別結果:七種不同扭矩值作用下,鋼塔筒法蘭節點結構基于時間反演技術測得的聚焦信號峰值,如下圖所示,從圖像中可以得到,在不同的工況下即在不同的扭矩值作用下,應力波信號形成了不同程度的聚焦,驗證了時間反演技術的有效性。


圖:1號螺栓在不同扭矩值作用下的應力波聚焦信號圖
為了更加直觀的反應不同工況下應力波聚焦信號的變化趨勢,提取1號螺栓每種工況下應力波的聚焦峰值,利用Origin軟件繪制1號螺栓在不同扭矩值作用下,應力波信號的聚焦峰值和扭矩值之間變化的曲線圖,如下圖所示,由曲線圖可知:1)每一種工況下應力波的聚焦峰值各不相同,扭矩值和應力波的聚焦峰值存在非線性關系,且應力波信號聚焦峰值的大小隨著扭矩值的增加而增大,這與之前的推導結果呈現一致性,即PZT片接收到的應力波信號的聚焦峰值越多,法蘭節點有效接觸面積越多,法蘭節點連接就越緊密。進一步證明了基于時間反演技術所獲得的應力波信號的聚焦峰值可以實現鋼塔筒法蘭節點連接狀態的有效監測;2)在整個曲線圖中,應力波的聚焦峰值在扭矩值為0-45N?m的范圍內增速較快,后期增速趨于平穩,這是因為隨著扭矩值的不斷增加,越來越靠近健康狀態,所以,圖像變化較慢,增長速度較緩。

圖:1號螺栓不同扭矩值作用下聚焦信號峰值的變化圖
安泰ATA-2022B高壓放大器:

圖:ATA-2022B高壓放大器指標參數
本文實驗素材由西安安泰電子整理發布。Aigtek已經成為在業界擁有廣泛產品線,且具有相當規模的儀器設備供應商,樣機都支持免費試用。西安安泰電子是專業從事功率放大器、高壓放大器、功率信號源、前置微小信號放大器、高精度電壓源、高精度電流源等電子測量儀器研發、生產和銷售的高科技企業。公司致力于功率放大器、功率信號源、計量校準源等產品為核心的相關行業測試解決方案的研究,為用戶提供具有競爭力的測試方案,Aigtek已經成為在業界擁有廣泛產品線,且具有相當規模的儀器設備供應商,樣機都支持免費試用。如想了解更多功率放大器等產品,請持續關注安泰電子官網www.wj539.com或撥打029-88865020。
本文實驗案例參考自知網論文《基于壓電智能傳感技術的鋼結構節點連接健康監測研究》
原文鏈接:http://www.wj539.com/news/527.html


























